답 1. 하수관로 설치 시 유의사항
- 관로에는 필요한 위치에 따라 감압밸브, 제수밸브, 공기밸브 등을 설치
- 관로의 분기점, 주요교량, 철도, 하천 등을 횡단할 때는 제수밸브 설치
- 매설깊이는 관경 900mm이하는 120cm 이상, 관경 1,000mm 이상은 150cm 이상(흙덮기)
- 한랭지에서의 매설깊이는 동결심도 보다 깊게
- 강관를 사용할 때는 특히 신축관을 고려하여 설계
- 매설깊이를 매우 얕게 하여야 할 때에는 관에 보호공 실시
- 관구경을 결정할 시, 상기 각종 사항을 참고하여 관로의 평균 유속 공식에 의하여 필요 관경 결정
답 2. 자연유하방식 하수관로 유량산출식(Manning 공식)

- 여기서 Q : 유량(㎥/s), A : 수로단면적(㎡), V : 유속(m/s),
n : 조도계수(관 내의 거친정도), R : 경심(A/P), I : 동수경사(Δh/L)
답 3. 압송방식의 하수관로 유량산출식(Hazen-Williams 공식)
- 장대관로에서 사용하며, 유량, 관경, 동수경사와의 관계식

- 여기서 Q : 유량(㎥/s), C : 유속계수, D : 관의 직경(m), I : 동수경사
- 유속계수 C : 보통 100, 80 ~ 150)
답 4. 하수관로 유량산출식(유속 경험식)의 적용
- 단순 관로, 자연 유하식 ; Manning 공식
- 장대 관로, 압력 수송식 : Hazen-Williams 공식
- 손실수두 및 관로 해석 : Darcy-Weisbach 공식
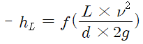
[참고] Darcy-Weisbach 손실수두 산정 공식
- 관로의 손실수두를 구하는 식이며, 2지점의 손실수두를 이용하여 유량, 유속, 관경과의 관계를 해석 가능

- 여기서 hL : 손실수두(m), f : 마찰계수
L : 관의 길이(m), v : 평균유속(m/sec), d : 관의 직경(m), g : 중력가속도(9.8m/s2)
학습자료, 기술사 학습법, 합격수기 등은 아래에서 확인 가능합니다.
1. 학습자료, 업무 서식
2. 기술사 합격수기_1차(필기)
수질관리기술사 필기시험 합격수기 및 공부방법
매일 2~3시간 공부 기본서 준비 기출문제 위주로 답안 작성 저의 기술사 1차 필기시험 합격수기 입니다. 1....
blog.naver.com
3. 기술사 합격수기_2차(면접)
수질관리기술사 최종면접 합격수기 및 공부방법
준 비 물 : 필기시험 문제풀이집 혹은 서브 노트 공부시간 : 매일 1시간 중요사항 : 1차 시험 지식수준 유...
blog.naver.com
4. 상하수도기술사 기본서
기본서 소개 1 : 21세기 상하수도 기술사
저자 및 출판사 : 박휘혜(저), 예문사 쪽수 : 1,892 페이지 출간일 : 2020년 5월 10일 오랫만에 글을 올립...
blog.naver.com
5. 학습법_공통
책소개 : 나는 무조건 합격하는 공부만 한다.
지은이 : 이윤규 변호사 발행처 : (주)비즈니스북스 - 변호사이자 구독자 12만명의 유튜브를 운영 중인 공...
blog.naver.com
6. 학습법_기술사편
책소개 : 기술사 합격의 단축키
지은이 : 기구미(현보훈) 건축시공 기술사 펴낸 곳 : 바른북스 발행일 : 2020.09 - 2시간 투자로 1,000시간...
blog.naver.com
7. 기술사 자격 활용법
책소개 : 새벽 4시, 연봉 2억 프리랜서가 되는 시간
지은이 : 박춘성 기술사(항만 및 해안, 건설안전, 토목품질, 토목시공) 펴낸곳 : (주)북랩 발행일 : 2020년...
blog.naver.com
오늘도 모두들 열공하십시요. 감사합니다!
이 포스팅은 쿠팡 파트너스 활동의 일환으로, 이에 따른 일정액의 수수료를 제공받습니다.
| 상하수도기술사 130회 2교시 기출문제 6. 정수처리에서 맛·냄새 물질의 제거방법에 대하여 설명하시오. (0) | 2023.08.15 |
|---|---|
| 상하수도기술사 130회 2교시 기출문제 5. 상수도 장래 용수수요량 예측 시 계획인구 추정기준과 방법에 대하여 설명하시오. (0) | 2023.08.14 |
| 염소소독의 원리와 영향인자 / 파과점 염소주입법 (0) | 2023.08.03 |
| 상하수도기술사 130회 2교시 기출문제 2. 상수도 배·급수시설 중 배수지(配水池) 시설의 운영 및 유지관리 방안에 대하여 설명하시오. (0) | 2023.08.02 |
| 상하수도기술사 130회 2교시 기출문제 1. 공공하수처리시설 중 중력농축설비에 이상발생 시 원인과 대책에 대하여 설명하시오. (0) | 2023.08.01 |