상하수도 121회 4교시 문제 4. 하수관의 유속경험식과 상수관의 손실수두산정식을 설명하고 적용범위에 대하여 설명 하시오.
답 1. Darcy-Weisbach 손실수두 산정 공식
- 관로의 손실수두를 구하는 식이며, 2지점의 손실수두를 이용하여 유량, 유속, 관경과의 관계를 해석 가능

- 여기서 hL : 손실수두(m), f : 마찰계수
L : 관의 길이(m), v : 평균유속(m/sec), d : 관의 직경(m), g : 중력가속도(9.8m/s2)
답 2. Chezy 평균 유속 공식
- 관로에서 동수경사와 경심을 알고 있을 때, 유속을 구할 수 있음

에서 d = 4R(R : 동수반경 또는 경심(動水半徑, hydraulic radius), 하천이나 관거의 유수 단면적을 윤변(P, Wetted perimeter, 물과 접하는 벽면의 길이)으로 나눈 값)을 대입하면,


- C : Chezy의 마찰손실계수
답 3. Hazen-Williams 공식
- 장대관로에서 사용하며, 유량, 관경, 동수경사와의 관계식

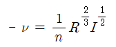
답 4. Manning 공식
- 개수로 및 관수로에 사용

여기서 v : 평균유속(m/sec)
n : 관 조도계수
R : 동수반경(A/P)
I : 동수경사(에너지 경사, m/m)
답 5. 유속 경험식의 적용
- 단순 관로, 자연 유하식 ; Manning 공식
- 장대 관로, 압력 수송식 : Hazen-Williams 공식
- 손실수두 및 관로 해석 : Darcy-Weisbach 공식
아래는 심심할 때 읽어 보세요. 저의 기술사 합격 경험담 및 시험에 도움이 될만한 도서 소개 입니다.
수질관리기술사 필기시험 합격수기 및 공부방법
매일 2~3시간 공부 기본서 준비 기출문제 위주로 답안 작성 저의 기술사 1차 필기시험 합격수기 입니다. 1....
blog.naver.com
수질관리기술사 최종면접 합격수기 및 공부방법
준 비 물 : 필기시험 문제풀이집 혹은 서브 노트 공부시간 : 매일 1시간 중요사항 : 1차 시험 지식수준 유...
blog.naver.com
책소개 : 나는 무조건 합격하는 공부만 한다.
지은이 : 이윤규 변호사 발행처 : (주)비즈니스북스 - 변호사이자 구독자 12만명의 유튜브를 운영 중인 공...
blog.naver.com
책소개 : 기술사 합격의 단축키
지은이 : 기구미(현보훈) 건축시공 기술사 펴낸 곳 : 바른북스 발행일 : 2020.09 - 2시간 투자로 1,000시간...
blog.naver.com
책소개 : 새벽 4시, 연봉 2억 프리랜서가 되는 시간
지은이 : 박춘성 기술사(항만 및 해안, 건설안전, 토목품질, 토목시공) 펴낸곳 : (주)북랩 발행일 : 2020년...
blog.naver.com
그리고개인 홈페이지 입니다. 의견도 올려주시면 내용 반영해서 블로그 및 홈페이지 운영하도록 하겠습니다.
오늘도 모두들 열공하십시요. 감사합니다!
