답 1. 슬러지 농축 개요
- 슬러지 농축의 역할은 수처리시설에서 발생한 저농도 슬러지를 농축한 다음 슬러지 소화나 슬러지 탈수를 효과적으로 기능하게 하는데 있음
- 농축하는 슬러지는 일차침전지에서 발생하는 일차침전지 슬러지와 이차침전지에서 발생하는 잉여슬러지
- 슬러지 농축에는 중력식, 부상식, 원심 분리식, 중력식 벨트 농축으로 크게 나눌 수 있으며 부상 농축은 가압 부상농축과 상압 부상농축 등이 해당
답 2. 중력식 슬러지 농축조 개요
- 중력식 농축조는 조내에 슬러지를 체류시켜 중력을 이용하여 농축한 후 바닥에 침강한 농축슬러지를 슬러지 제거기(scraper)로 배출구에 모으는 것
- 중력식에 의한 슬러지 농축은 계절변화의 영향을 받으므로 안정적인 운전이 어렵고, 특히 수온이 상승하는 여름에는 슬러지가 부패하여 농축슬러지의 농도가 낮아지거나 슬러지 부상이 일어나 고형물 회수율이 낮아질 수 있으므로 겨울에 비해 농축하기 어려운 것이 일반적
- 중력식 농축조에서 슬러지가 농축될 때 상징구역, 침강구역 그리고 농축구 역의 세 부분이 형성되며 침강구역에서는 지역침전, 농축구역에서는 농축침전이 일어날 것이다. 따라서 슬러지농축조의 소요면적은 상징구역에서 넘치는 물이 부유물을 상승시키지 않을 정도로 커야 함
답 3. 중력식 슬러지 농축조 농축원리
- 중력식 농축조에서 슬러지가 농축될 때 상징구역, 침강구역 그리고 농축구역의 세 부분이 형성되며 침강구역에서는 지역침전, 농축구역에서는 농축침전 발생
- 따라서 슬러지농축조의 소요면적은 상징구역에서 넘치는 물이 부유물을 상승시키지 않을 정도로 커야 하며, 침전 및 농축에 필요한 소요면적을 비교해 큰 면적 사용

답 4. 소요단면적 산정방법
1) 고형물 부하에 의한 농축조의 소요 단면적


2) 수면적 부하에 의한 농축조 소요 단면적

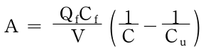
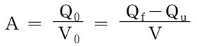
3) 소요단면적 산정
- 상기식 1), 2)를 이용하려면 슬러지 농도 C와 경계면 침강속도 V와의 관계를 알아야 하며 이를 위해 침전관 실험을 실시하여 여러 가지 슬러지 농도에 대한 슬러지의 침전속도 측정
- 각각의 C값에 대하여 얻은 V값을 고형물 부하에 의한 식에 대입하여 A값을 구하고 여러 가지 A값 중에서 가장 큰 것을 수면적 부하에 의한 식으로부터 구한 A와 비교하여 둘 중에서 큰 값을 소요단면적으로 취함
4) 중력식 슬러지 농축조의 고형물 부하율 및 수리학적 부하율
- 우리나라 하수처리시설의 중력식 농축조에 관한 자료를 보면 고형물 부하율은 평균 60 kg/m2 ․ d 정도로 설계되고 있으나 실제는 약 40 kg/m2 ․ d 정도로 운전
- 수리학적 부하율은 미국의 경우에는 1차 슬러지에 대하여 16 ~ 32 m3 /m2 ․ d, 잉여슬러지에 대하여 4 ~ 8 m3 /m2 ․ d이 사용
- 특히, 잉여슬러지의 경우에 미생물의 활동을 억제시키기 위해 농축조의 체류시간은 18시간 이하로 하는 것을 추천

아래는 심심할 때 읽어 보세요. 저의 기술사 합격 경험담 및 시험에 도움이 될만한 도서 소개 입니다.
수질관리기술사 필기시험 합격수기 및 공부방법
매일 2~3시간 공부 기본서 준비 기출문제 위주로 답안 작성 저의 기술사 1차 필기시험 합격수기 입니다. 1....
blog.naver.com
수질관리기술사 최종면접 합격수기 및 공부방법
준 비 물 : 필기시험 문제풀이집 혹은 서브 노트 공부시간 : 매일 1시간 중요사항 : 1차 시험 지식수준 유...
blog.naver.com
책소개 : 나는 무조건 합격하는 공부만 한다.
지은이 : 이윤규 변호사 발행처 : (주)비즈니스북스 - 변호사이자 구독자 12만명의 유튜브를 운영 중인 공...
blog.naver.com
책소개 : 기술사 합격의 단축키
지은이 : 기구미(현보훈) 건축시공 기술사 펴낸 곳 : 바른북스 발행일 : 2020.09 - 2시간 투자로 1,000시간...
blog.naver.com
책소개 : 새벽 4시, 연봉 2억 프리랜서가 되는 시간
지은이 : 박춘성 기술사(항만 및 해안, 건설안전, 토목품질, 토목시공) 펴낸곳 : (주)북랩 발행일 : 2020년...
blog.naver.com
그리고 개인 홈페이지 입니다. 의견도 올려주시면 내용 반영해서 블로그 및 홈페이지 운영하도록 하겠습니다.
오늘도 모두들 열공하십시요. 감사합니다!
이 포스팅은 쿠팡 파트너스 활동의 일환으로, 이에 따른 일정액의 수수료를 제공받습니다.