답 1. 활성슬러지법의 원리 및 슬러지 반송 이유
1) 활성슬러지법의 원리
- 하수 중에 함유되어 있는 유기물은 일부가 처리수 중에 유출되지만 대부분은 활성슬러지에 흡착된 후 산화 및 동화에 의해 이용되어 제거됨
- 또한 산화되지 않은 유기물은 처리 시스템 내에 저류되어 내생호흡에 의해 산화되지 않은 물질과 함께 최종적으로 잉여슬러지로서 처리시스템 외부로 배출

2) 슬러지 반송 이유
- MLSS(Mixed Liquor Suspended Solid)는 활성슬러지 부유물질 또는 폭기조 혼합액의 부유물질의 약칭으로서 일반적으로 활성슬러지 반응조(폭기조)내의 미생물을 말하며, 활성 부유물질의 농도로서 포기조에 유입되는 유기물을 분해할 수 있는 미생물의 양을 말함
- 활성슬러지 반응조내의 MLSS농도는 일반적으로 1,500~2,500 mg/L의 범위로 운전
- MLSS농도가 너무 낮게 되면 처리가 안정되지 않고, 너무 높으면 필요산소량이 증가하거나 이차침전지의 침전효율이 악화될 우려가 있어, 슬러지 반송을 통해 활성슬러지 반응조의 MLSS 농도를 일정하게 유지
답 2. 슬러지 반송비에 따른 생물반응조의 미생물 농도와의 상관관계
1) 슬러지 반송비
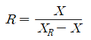
- 반응조내의 MLSS농도와 슬러지 반송비의 관계(반응조의 고형물수지)

- 유입수의 SS농도(Sss)는 R ․ XR 값에 비해 너무 작기 때문에 무시한다면 슬러지반송비(R)는

- 여기서 X = MLSS 농도
- R = 슬러지 반송비
- XR = 반송슬러지 SS 농도
- SSS = 유입수 SS 농도
2) 슬러지 반송비에 따른 생물반응조의 미생물 농도와의 상관관계
- 상기 식에 따라 슬러지 반송비 R과 미생물 농도 X는 정비례 관계임
| 슬러지 탈수, 탈수시험법 (0) | 2023.11.27 |
|---|---|
| 도송수관로의 관경결정, 관로부속시설 (3) | 2023.11.20 |
| 부영양화로 인한 정수시설 영향 (0) | 2023.11.16 |
| 기존 하수처리시설에서의 단위공정 성능개선 (0) | 2023.11.06 |
| 스마트워터그리드(SWG), 스마트 미터링 (1) | 2023.10.14 |